Rph Bahasa Melayu Tahun 5 2019 Minggu 13
Terdapat 3 sample iaitu tahun 4 dan tahun 5 KSSR SEMAKAN dan tahun 6 KSSR. Minggu 2 - Diri Saya.
RANCANGAN PENGAJARAN HARIAN 2021 MINGGU.
. Klik pada banner di bawah untuk muat turun semua RPT dan RPH subjek sekolah rendah. RPH PK minggu 16. RPH BM Unit 1.
RPH Bahasa Melayu Tahun 2 adalah Rancangan Pengajaran Harian yang perlu disediakan lebih awal oleh guru sebelum menjalankan sesi pegajaran dan pembelajaranRancangan Pengajaran Harian ini dibina sebagai panduan para guru untuk mengajar dengan lebih sistematik dan efektif serta mampu untuk mencapai apa yang. BAHASA MELAYU SJKC TAHUN 3 Minggu 6 Masa900-1000 pagi Hari. RPH pk minggu 19.
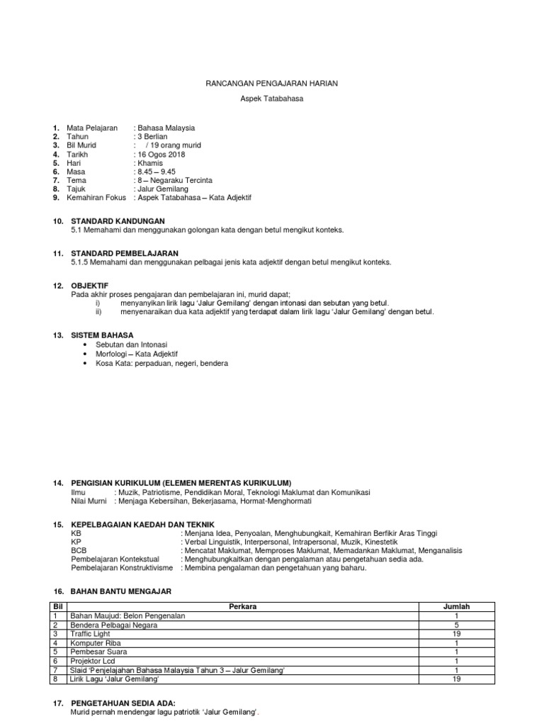
View RPH TAHUN 5 BM 932021docx from EDUCATION 0010 at Open University Malaysia. RPH Bahasa Melayu Tahun 3 KSSR Semakan ini merupakan RPH yang terbaru untuk kegunaan 2019 KSSR Semakan telah bermula pada 2017 lagi dan pada tahun hadapan ia akan memasuki tahun ke 3 pelaksanaannya. 1 murid dapat.
Templat Rancangan Pengajaran Harian RPH Pembelajaran Abad ke-21 PAK-21 Assalamualaikum dan selamat sejahtera. Kami telah menyediakan sample rph bagi subjek sejarah sekolah rendah. Menyatakan panduan tunjuk serta pesanan tentang sesuatu perkara arah kepada orang lain.
Pendidikan Keselamatan Jalan Raya. 932021 BAHASA MELAYU KELAS 5. Alhamdulillah baru-baru ini saya telah mendapat bahan yang amat berguna kepada guru-guru iaitu templat bagi penulisan Rancangan Pengajaran Harian RPH yang terbaru dan terkini serta selaras dengan konsep Pembelajaran Abad ke-21.
Kali ini saya kongsikan RPH lengkap semua subjek 2021. Ada yang lengkap setahun dan ada yang separuh dan ada yang berminggu-minggu. RPH 1-19 Penuh ENGLISH.
RPH Pendidikan Jasmani Tahun 4 TS24. Unit 9 Minggu 1. Berikut merupakan koleksi rph bahasa melayu tahun 5.
RPH Bahasa Melayu Tahun 5 KSSM adalah Rancangan Pengajaran Harian yang perlu disediakan lebih awal oleh guru sebelum menjalankan sesi pegajaran dan pembelajaranRancangan Pengajaran Harian ini dibina sebagai panduan para guru untuk mengajar dengan lebih sistematik dan efektif serta mampu untuk mencapai apa yang. Rancangan pengajaran harian rph rph 2022 rph arab 2022 rph bahasa arab 2022 rph bahasa inggeris 2022 rph bahasa melayu 2022 rph bi 2022 rph bm 2022 rph jawi 2022 rph matematik 2022 rph math 2022 rph moral 2022 rph muzik 2022 rph pai 2022 rph. In sha Allah di sini akan dikemaskini sentiasa.
Antara perkara yang mesti dilakukan oleh seseorang yang bergelar guru pada setiap hari adalah pastinya menyediakan rancangan pengajaran harian. Memberikan dan memahami arahan i. Semua guru boleh membuat pengubahsuaian jika ada keperluan.
RPH Bahasa Melayu Tahun 2 adalah Rancangan Pengajaran Harian yang perlu disediakan lebih awal oleh guru sebelum menjalankan sesi pegajaran dan pembelajaranRancangan Pengajaran Harian ini dibina sebagai panduan para guru untuk mengajar dengan lebih sistematik dan efektif serta mampu untuk mencapai apa yang. Unit 8 Minggu 1. Unit 8 Minggu 2.
KELOMPOK OBJEKTIF HASIL PELAJARAN HURAIAN HASIL PELAJARAN MINGGU Pada akhir unit ini murid- Fokus Utama. RPH Sejarah Tahun 5 1 - 24 PENDIDIKAN ISLAM. Jangan lupa share kepada kawan2 ya pada group whasapp dan.
Beringat Sebelum Terkena MINGGU13 PENDIDIKAN SIVIK JUN TEMA. RPH PJ Penggal 2 RBT TAHUN 5. Koleksi RPH KSSR Tahun 1 hingga Tahun 6 2019 medium Perkongsian Bestari Warga Pendidikan Malaysia.
Berikut merupakan koleksi RPH pelbagai subjek tahun 5 yang telah dikumpulkan. Rancangan Pengajaran Harian RPH 20222023 Post written by Admin at March 14 2022 220 pm. DOWNLOAD SAMPLE BAHASA MELAYU TAHUN 3 SEMAKAN KSSR DOWNLOAD SAMPLE BAHASA MELAYU TAHUN 4 SEMAKAN KSSR DOWNLOAD SAMPLE BAHASA MELAYU TAHUN 5 SEMAKAN KSSR DOWNLOAD SAMPLE BAHASA MELAYU TAHUN 6.
RPH ini merujuk kepda rancangan pengajaran harian yang kita sediakan sebelum sesi pengajaran dan pembelajaran bermula. RPH Pend Moral Tahun 3 TS25. Rancangan Pengajaran Harian Pozan.
Berikut merupakan koleksi rph Pendidikan Kesihatan tahun 5. RPH Matematik Tahun 6 TS25. RPH Pendidikan Islam Tahun 1 TS25.
RPH PK Minggu 20. RPH pk minggu 18. RANCANGAN PENGAJARAN HARIAN Nama Guru Bondakids Kelas Prasekolah xxx Tarikh xxxx200x Mas.
Unit 9 Minggu 2. 8 MATAPELAJARA N TARIKH. TAHUN 4 shared by Samiah Samari.
RPT Bahasa Melayu Tahun 1 2021. Ujian Pemahaman Bahasa Melayu Tahun 5 SJKC. Koleksi RPT 2022 Rancangan Pengajaran Tahunan Semua Matapelajaran Berikut dikongsikan maklumat penting berkaitan Koleksi RPT Rancangan Pengajaran Tahunan bagi semua mata pelajaran di Sekolah Rendah yang meliputi contoh nota dan koleksi soalan RPT.
Penyusunan sub topik daripada mudah ke sukar membolehkan murid menguasai pengetahuan dan kemahiran yang disampaikan dengan mudah dan jelas. Hubungi telegram di bawah untuk dapatkan RPH ini. RPH Pendidikan Islam Tahun 5 - Penuh PENDIDIKAN JASMANI.
Rancangan Pengajaran Tahunan KSSR SK Bahasa Melayu. Pengajaran yang telah disusun dalam Rancangan Pengajaran Harian RPH membantu guru menyampaikan isi kandungan pelajaran dengan mudah. TAHUN 2 shared by Cikgu Sahrom.
Unit 10 Minggu 1. March 24 2019 Ujian Pemahaman Bahasa Melayu Tahun 5 SJKC. Calon wajib menduduki semua kertas peperiksaan bagi mata pelajaran yang didaftar.
Minggu 5 - Perayaan Tahun Baru Cina. RPH Bahasa Melayu Tahun 5. Koleksi RPH Rancangan Pengajaran Harian.
Rancangan Pengajaran Harian RPH Pelbagai Subjek 2021 Post written by Admin at December 4 2020 822 pm. Semoga bermanfaat kepada guru. RPH Sejarah Tahun 4 TS25.
RPH PJ Penggal 1. Rph tadika bahasa melayu. Minggu 1 - Orientasi.
Untuk makluman guru-guru set rph ini disediakan lengkap dengan rpt setahun dan DSKP. Dalam usaha menjadikan diri seorang guru yang efektif dan proaktif guru perlulah menyediakan rancangan pengajaran. RPT BAHASA MELAYU 2022.
RPH BM Tahun 3 TS25. Rancangan pengajaran harian rph rph 2021 rph arab 2021 rph bahasa arab 2021 rph bahasa inggeris 2021 rph bahasa melayu 2021 rph bi 2021 rph bm 2021 rph jawi 2021 rph matematik 2021 rph math 2021 rph moral 2021 rph. RPH BM Unit 2.
RANCANGAN PENGAJARAN HARIAN BAHASA MALAYSIA TAHUN 2 Minggu 2 Hari Tarikh Ahad 6 Jan 2019 Kelas 2 Excel Masa 1130 pg-1230tgh Aspek Tatabahasa Tema Kekeluargaan Tajuk Kejutan untuk Ibu Standard Kandungan 51 Standard Pembelajaran 511 Objektif Pada akhir pembelajaran dan pemudahcaraan murid dapat. Perkongsian bahan-bahan pendidikan hebahan berita semasa dan pemberitahuan informasi. Unit 7 Minggu 2.
Assalamualaikum salam sejahtera buat semua yang berkunjung. Semua format rph dan rpt kami adalah dalam MSword. DSKP KSSR BM Tahun 5-SJKpdf.
Bahasa Melayu merupakan subjek yang diminati murid-murid pada tahun 3 murid sudah pun menguasai perkara asas seperti Membaca dan. Terima kasih kepada mereka yang sanggup berkongsi. Latihan Cari Huruf Kecil Bahasa Melayu PPKI Dan Prasekolah.
RPT Bahasa Melayu Tahun 2. RANCANGAN PENGAJARAN HARIAN BAHASA MELAYU TAHUN 3 MINGGU 5 HARI TARIKH RABU 30 JANUARI 2019 KELAS 3 DELTA MASA 1100 - 1200 PETANG MATA PELAJARAN BAHASA MELAYU TEMA KESIHATAN DAN KEBERSIHAN KEMAHIRA N ASPEK SENI BAHASA UNITTAJUK 5 KEBERSIHAN TANGGUNGJAWAB BERSAMA STANDARD KANDUNGAN 41. RPH PK Minggu 15.
TAHUN 2 shared by Cikgu Sahrom. RPH BM Tahun 6 TS25. RPH PK minggu 17.
RPH Sejarah Tahun 6 TS25. Unit 7 Minggu 1. RPH Sejarah Tahun 5 TS25.
Aras 1 MINGGU.
Rph Amirul Firdaus Bahasa Melayu Tahun 2 Minggu 32 Mendengar Dan Bertutur Isnin 2 September 2019 Pdf









Comments
Post a Comment